
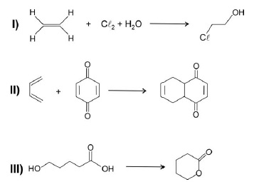
Do ponto de vista da "Química Verde", as melhores transformações são aquelas em que não são gerados subprodutos. Mas, se forem gerados, os subprodutos não deverão ser agressivos ao ambiente. Considere as seguintes transformações, representadas por equações químicas, em que, quando houver subprodutos, eles não estão indicados.
A ordem dessas transformações, da pior para a melhor, de acordo com a "Química Verde", é:
TEMPO NA QUESTÃO
00:00:00
Meu Desempenho
Química Geral
Total de Questões: ?
Respondidas: ? (0,00%)
Certas: ? (0,00%)
Erradas: ? (0,00%)
Somente usuários cadastrados!