WhatsApp do Vestiprovas
Compartilhar

Responder Questão:

Ceará URCA 2011.2 1ª Fase Questão: 85 Matemática Sequências Sequências gerais 

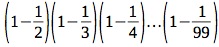
Determine o valor de



TEMPO NA QUESTÃO

Relógio00:00:00

Gráfico de barras Meu Desempenho

Matemática Sequências

Total de Questões: ?

Respondidas: ? (0,00%)

Certas: ? (0,00%)

Erradas: ? (0,00%)

Somente usuários cadastrados!

Postar dúvida ou solução ...