WhatsApp do Vestiprovas
Compartilhar

Responder Questão:

Paraná UNIOESTE 2012.2 Questão: 21 Matemática Geral 

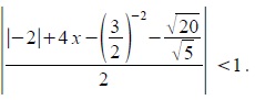
Seja S o conjunto solução de


É correto afirmar que S é igual a:



TEMPO NA QUESTÃO

Relógio00:00:00

Gráfico de barras Meu Desempenho

Matemática Geral

Total de Questões: ?

Respondidas: ? (0,00%)

Certas: ? (0,00%)

Erradas: ? (0,00%)

Somente usuários cadastrados!

Postar dúvida ou solução ...