
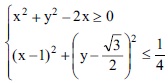
Considere o sistema de inequações

a) Represente graficamente, no sistema cartesiano de eixos ortogonais inserido no campo de resolução e resposta, a solução desse sistema de inequações.
b) Calcule a área da superfície que representa a solução gráfica do sistema de inequações.
TEMPO NA QUESTÃO
00:00:00
Meu Desempenho
Matemática Equação
Total de Questões: ?
Respondidas: ? (0,00%)
Certas: ? (0,00%)
Erradas: ? (0,00%)
Somente usuários cadastrados!