
O medicamento utilizado para o tratamento da gripe A (gripe suína) durante a pandemia em 2009 foi o fármaco antiviral fosfato de oseltamivir, comercializado com o nome Tamiflu®. A figura representa a estrutura química do oseltamivir.
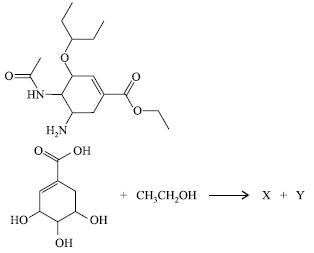
Uma das rotas de síntese do oseltamivir utiliza como reagente de partida o ácido siquímico. A primeira etapa dessa síntese é representada na equação:
a) Na estrutura do oseltamivir, identifique as funções orgânicas que contêm o grupo carbonila.
b) Apresente a estrutura do composto orgânico produzido na reação do ácido siquímico com o etanol.
TEMPO NA QUESTÃO
00:00:00
Meu Desempenho
Química Geral
Total de Questões: ?
Respondidas: ? (0,00%)
Certas: ? (0,00%)
Erradas: ? (0,00%)
Somente usuários cadastrados!