
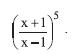
Se A é o conjunto dos números reais diferentes de 1, seja
Então, f5 (x) é igual a
TEMPO NA QUESTÃO
00:00:00
Meu Desempenho
Matemática Função
Total de Questões: ?
Respondidas: ? (0,00%)
Certas: ? (0,00%)
Erradas: ? (0,00%)
Somente usuários cadastrados!