
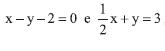
Se P é o ponto de intersecção das retas de equações
, a área do triângulo de vértices A(0, 3), B(2, 0) e P é
TEMPO NA QUESTÃO
00:00:00
Meu Desempenho
Matemática Equação
Total de Questões: ?
Respondidas: ? (0,00%)
Certas: ? (0,00%)
Erradas: ? (0,00%)
Somente usuários cadastrados!