
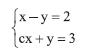
Considere o sistema de equações
onde c é uma constante real. Para que a solução do sistema seja um par ordenado no interior do primeiro quadrante (x > 0, y > 0) do sistema de eixos cartesianos ortogonais com origem em (0, 0), é necessário e suficiente que
TEMPO NA QUESTÃO
00:00:00
Meu Desempenho
Matemática Equação
Total de Questões: ?
Respondidas: ? (0,00%)
Certas: ? (0,00%)
Erradas: ? (0,00%)
Somente usuários cadastrados!