
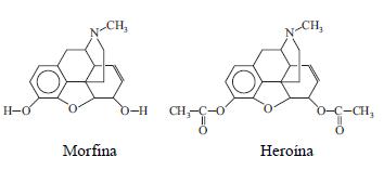
A morfina é um potente narcótico e analgésico extraído do ópio. A heroína é obtida sinteticamente a partir da morfina e é mais potente que a morfina, pois penetra mais facilmente no cérebro, onde se transforma na morfina.
As afirmações seguintes foram feitas com relação a esses dois opióides.
I. A conversão da morfina em heroína pode ser conseguida por uma reação de esterificação e a conversão inversa por uma reação de hidrólise.
II. As funções éter e amina são preservadas na conversão.
III. Ambos devem produzir sais na reação com ácidos, pois apresentam grupo básico.
Está correto o que se afirma em
TEMPO NA QUESTÃO
00:00:00
Meu Desempenho
Química Geral
Total de Questões: ?
Respondidas: ? (0,00%)
Certas: ? (0,00%)
Erradas: ? (0,00%)
Somente usuários cadastrados!