
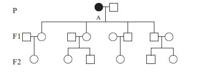
No heredograma seguinte, a pessoa A possui uma mutação no DNA de todas as suas mitocôndrias, que faz com que a produção de energia para os músculos seja deficiente, ocasionando dificuldades motoras para os portadores do problema. Essa pessoa casou-se com outra, aparentemente normal. O casal (P) teve filhos (F1) e estes, por sua vez, também tiveram filhos (F2).
a) Copie o heredograma em seu caderno de respostas,pintando quais serão as pessoas afetadas pela doença em F1 e em F2
b) Justifique sua resposta.
TEMPO NA QUESTÃO
00:00:00
Meu Desempenho
Biologia Genética
Total de Questões: ?
Respondidas: ? (0,00%)
Certas: ? (0,00%)
Erradas: ? (0,00%)
Somente usuários cadastrados!