
Se z = x + iy é um número complexo, o número real x é chamado parte real de z e é indicado por Re(z) , ou seja, Re(x + iy) = x .
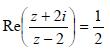
a) Mostre que o conjunto dos pontos (x, y) que satisfazem à equaçãoao qual se
acrescenta o ponto (2,0) , é uma circunferência.
b) Ache a equação da reta que passa pelo ponto (-2,0) e é tangente àquela circunferência.
TEMPO NA QUESTÃO
00:00:00
Meu Desempenho
Matemática Números Complexos
Total de Questões: ?
Respondidas: ? (0,00%)
Certas: ? (0,00%)
Erradas: ? (0,00%)
Somente usuários cadastrados!