WhatsApp do Vestiprovas
Compartilhar

Responder Questão:

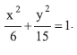
São Paulo UNESP 2005.2 1ª Fase Questão: 10 Matemática Equação 




TEMPO NA QUESTÃO

Relógio00:00:00

Gráfico de barras Meu Desempenho

Matemática Equação

Total de Questões: ?

Respondidas: ? (0,00%)

Certas: ? (0,00%)

Erradas: ? (0,00%)

Somente usuários cadastrados!

Postar dúvida ou solução ...