
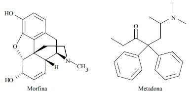
A morfina e a metadona são analgésicos potentes e provocam graves efeitos colaterais, que vão desde problemas respiratórios à dependência química.
Sobre as moléculas da morfina e da metadona, afirma-se que ambas apresentam:
I. Grupo funcional amina.
II. Dois anéis aromáticos.
III. Dois átomos de carbono assimétrico.
IV. Um átomo de carbono quaternário.
É correto o que se afirma apenas em
TEMPO NA QUESTÃO
00:00:00
Meu Desempenho
Química Geral
Total de Questões: ?
Respondidas: ? (0,00%)
Certas: ? (0,00%)
Erradas: ? (0,00%)
Somente usuários cadastrados!