WhatsApp do Vestiprovas
Compartilhar

Responder Questão:

Rio de Janeiro UFRJ 2005.1 Questão: 5 Matemática Geral 

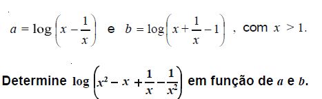
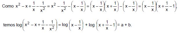
Considere


Resp: a + b.



TEMPO NA QUESTÃO

Relógio00:00:00

Gráfico de barras Meu Desempenho

Matemática Geral

Total de Questões: ?

Respondidas: ? (0,00%)

Certas: ? (0,00%)

Erradas: ? (0,00%)

Somente usuários cadastrados!

Postar dúvida ou solução ...