
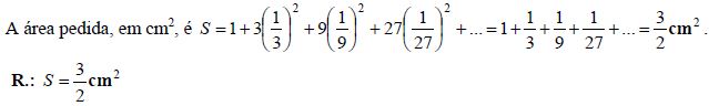
A região fractal F, construída a partir de um quadrado de lado 1cm, é constituída por uma infinidade de quadrados e construída em uma infinidade de etapas. A cada nova etapa consideram-se os quadrados de menor lado (l ) acrescentados na etapa anterior e acrescentam-se, para cada um destes, três novos quadrados de lado l /3. As três primeiras etapas de construção de F são apresentadas a seguir.
Calcule a área de F.
TEMPO NA QUESTÃO
00:00:00
Meu Desempenho
Matemática Geral
Total de Questões: ?
Respondidas: ? (0,00%)
Certas: ? (0,00%)
Erradas: ? (0,00%)
Somente usuários cadastrados!