WhatsApp do Vestiprovas
Compartilhar

Responder Questão:

Rio de Janeiro UFRJ 2002.1 Questão: 4 Matemática Geral 

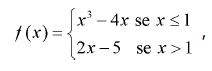
Dada a função f : R → R definida por:


determine os zeros de f.



TEMPO NA QUESTÃO

Relógio00:00:00

Gráfico de barras Meu Desempenho

Matemática Geral

Total de Questões: ?

Respondidas: ? (0,00%)

Certas: ? (0,00%)

Erradas: ? (0,00%)

Somente usuários cadastrados!

Postar dúvida ou solução ...