
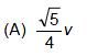
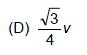
Um corpo é lançado do chão com velocidade v e ângulo de inclinação de 60° com a horizontal. Quando atinge a altura máxima, colide inelasticamente com outro corpo de mesma massa e velocidade v , que estava em queda livre.
Considerando desprezíveis as forças externas durante a colisão, o módulo da velocidade imediatamente após o choque é
TEMPO NA QUESTÃO
00:00:00
Meu Desempenho
Física Mecânica
Total de Questões: ?
Respondidas: ? (0,00%)
Certas: ? (0,00%)
Erradas: ? (0,00%)
Somente usuários cadastrados!