
A tabela a seguir apresenta os preços unitários de três tipos de frutas e os números de unidades vendidas de cada uma delas em um dia de feira.
A arrecadação obtida com a venda desses produtos pode ser calculada pelo produto de p = (1, 2 ,3) por u = (x, y, z).
Determine:
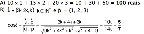
A) o valor arrecadado, em reais, com a venda de dez mamões, quinze abacaxis e vinte melões;
B) o cosseno do ângulo formado pelos vetores p e u, sabendo que x, y e z são respectivamente proporcionais a 3, 2 e 1.
TEMPO NA QUESTÃO
00:00:00
Meu Desempenho
Matemática Trigonometria
Total de Questões: ?
Respondidas: ? (0,00%)
Certas: ? (0,00%)
Erradas: ? (0,00%)
Somente usuários cadastrados!