
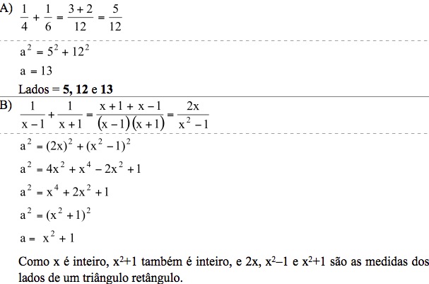
Terno pitagórico é a denominação para os três números inteiros que representam as medidas, com a mesma unidade, dos três lados de um triângulo retângulo. Um terno pitagórico pode ser gerado da seguinte forma:
- escolhem-se dois números pares consecutivos ou dois números ímpares consecutivos;
- calcula-se a soma de seus inversos, obtendo-se uma fração cujos numerador e denominador representam as medidas dos catetos de um triângulo retângulo;
- calcula-se a hipotenusa.
A) Utilizando o procedimento descrito, calcule as medidas dos três lados de um triângulo retângulo, considerando os números pares 4 e 6.
B) Considere x um número inteiro maior do que 1, e que (x − 1) e (x + 1) representam dois pares ou dois ímpares consecutivos. Demonstre que esses dois números geram um terno pitagórico.
TEMPO NA QUESTÃO
00:00:00
Meu Desempenho
Matemática Geometria
Total de Questões: ?
Respondidas: ? (0,00%)
Certas: ? (0,00%)
Erradas: ? (0,00%)
Somente usuários cadastrados!