
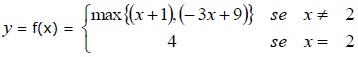
Se f: R → R e a função definida por
então o conjunto imagem de f é
TEMPO NA QUESTÃO
00:00:00
Meu Desempenho
Matemática Função
Total de Questões: ?
Respondidas: ? (0,00%)
Certas: ? (0,00%)
Erradas: ? (0,00%)
Somente usuários cadastrados!