
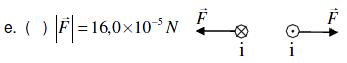
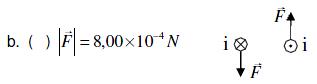
A força entre dois fios condutores paralelos, perpendiculares ao plano da página, ambos com 10,0 m de comprimento e separados por 5,00 cm, é de repulsão. A corrente elétrica em ambos é de 20,0 A.
A alternativa que melhor representa a força é:
TEMPO NA QUESTÃO
00:00:00
Meu Desempenho
Física Eletricidade e Magnetismo
Total de Questões: ?
Respondidas: ? (0,00%)
Certas: ? (0,00%)
Erradas: ? (0,00%)
Somente usuários cadastrados!