WhatsApp do Vestiprovas
Compartilhar

Responder Questão:

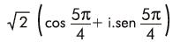
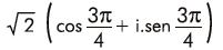
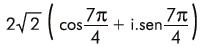
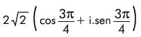
São Paulo PUC-SP 2012.1 Questão: 15 Matemática Números Complexos Forma trigonométrica 




TEMPO NA QUESTÃO

Relógio00:00:00

Gráfico de barras Meu Desempenho

Matemática Números Complexos

Total de Questões: ?

Respondidas: ? (0,00%)

Certas: ? (0,00%)

Erradas: ? (0,00%)

Somente usuários cadastrados!

Postar dúvida ou solução ...