
Procurando resolver um desafio proposto em certa disciplina do curso de Nutrição, uma estudante foi à Biblioteca e encontrou em um livro o seguinte problema:
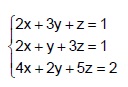
Uma dieta requer, para a refeição principal, 7 unidades de gordura, 9 unidades de proteínas e 16 unidades de carboidratos. Certa pessoa dispõe de
3 alimentos com os quais pode montar sua dieta. Alimento
A: cada medida contém 2 unidades de gordura, 2 unidades de proteína e 4 unidades de carboidrato.
Alimento B: cada medida contém 3 unidades de gordura, 1 unidade de proteína e 2 unidades de carboidrato.
Alimento C: cada medida contém 1 unidade de gordura, 3 unidades de proteína e 5 unidades de carboidrato.
O número de medidas que a pessoa consome dos alimentos A, B e C em sua refeição principal é representado por x, y, z, respectivamente. O sistema linear cuja solução diz quantas medidas de cada alimento deve ser consumido é _________.
A estudante levou o problema para resolver com seu grupo, que chegou à seguinte resposta correta:
TEMPO NA QUESTÃO
00:00:00
Meu Desempenho
Matemática Geral
Total de Questões: ?
Respondidas: ? (0,00%)
Certas: ? (0,00%)
Erradas: ? (0,00%)
Somente usuários cadastrados!