WhatsApp do Vestiprovas
Compartilhar

Responder Questão:

Rio de Janeiro IME 2013.2 Questão: 9 Matemática Geral 

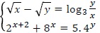
Resolver o sistema de equações



TEMPO NA QUESTÃO

Relógio00:00:00

Gráfico de barras Meu Desempenho

Matemática Geral

Total de Questões: ?

Respondidas: ? (0,00%)

Certas: ? (0,00%)

Erradas: ? (0,00%)

Somente usuários cadastrados!

Postar dúvida ou solução ...