
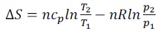
A variação de entropia de um sistema fechado constituído por um gás ideal, quando sofre uma transformação, pode ser calculada pela expressão genérica:

em que os subscritos 1 e 2 representam dois estados quaisquer. Assinale a única afirmativa correta.
TEMPO NA QUESTÃO
00:00:00
Meu Desempenho
Química Geral
Total de Questões: ?
Respondidas: ? (0,00%)
Certas: ? (0,00%)
Erradas: ? (0,00%)
Somente usuários cadastrados!