
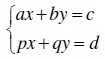
Considere o sistema de equações
com a, b, c, d, p e q reais, abcd ¹ 0 , a + b = m e d = nc. Sabe-se que o sistema é indeterminado. O valor de p + q é
TEMPO NA QUESTÃO
00:00:00
Meu Desempenho
Matemática Geral
Total de Questões: ?
Respondidas: ? (0,00%)
Certas: ? (0,00%)
Erradas: ? (0,00%)
Somente usuários cadastrados!