
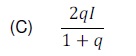
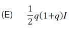
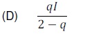
Um feixe de luz de intensidade I incide perpendicularmente em uma lâmina de vidro de espessura constante. A intensidade da onda transmitida do ar para o vidro e vice-versa é reduzida por um fator q (0<q<1). Ao chegar a cada interface de separação entre o ar e o vidro, a onda se divide em refletida e transmitida. A intensidade total da luz que atravessa o vidro, após sucessivas reflexões internas no vidro, é dada por:
TEMPO NA QUESTÃO
00:00:00
Meu Desempenho
Física Geral
Total de Questões: ?
Respondidas: ? (0,00%)
Certas: ? (0,00%)
Erradas: ? (0,00%)
Somente usuários cadastrados!