
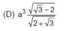
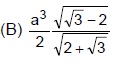
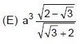
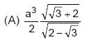
Uma pirâmide regular possui como base um dodecágono de aresta a. As faces laterais fazem um ângulo de 15° com o plano da base. Determine o volume desta pirâmide em função de a.
TEMPO NA QUESTÃO
00:00:00
Meu Desempenho
Matemática Geral
Total de Questões: ?
Respondidas: ? (0,00%)
Certas: ? (0,00%)
Erradas: ? (0,00%)
Somente usuários cadastrados!