
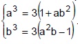
Seja o número complexo Z = a + bi, com a e b e IR (real) e i = √-1 . Determine o módulo de Z sabendo que
TEMPO NA QUESTÃO
00:00:00
Meu Desempenho
Matemática Geral
Total de Questões: ?
Respondidas: ? (0,00%)
Certas: ? (0,00%)
Erradas: ? (0,00%)
Somente usuários cadastrados!