
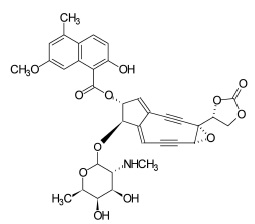
A neocarzinostatina é uma molécula da família das enediinas que são produtos naturais isolados de microrganismos e apresentam poderosa atividade anti-tumoral, por serem capazes de agir como intercalantes nas moléculas de DNA, interrompendo, dessa forma, o rápido crescimento celular característico das células tumorais.

Analisando a estrutura da neocarzinostatina acima, pode-se afirmar que esta forma canônica da molécula possui
TEMPO NA QUESTÃO
00:00:00
Meu Desempenho
Química Geral
Total de Questões: ?
Respondidas: ? (0,00%)
Certas: ? (0,00%)
Erradas: ? (0,00%)
Somente usuários cadastrados!