WhatsApp do Vestiprovas
Compartilhar

Responder Questão:

São Paulo ESPM 2014.2 Questão: 25 Matemática Geral 

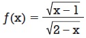
O mais amplo domínio para a função real de variável real,
é:



TEMPO NA QUESTÃO

Relógio00:00:00

Gráfico de barras Meu Desempenho

Matemática Geral

Total de Questões: ?

Respondidas: ? (0,00%)

Certas: ? (0,00%)

Erradas: ? (0,00%)

Somente usuários cadastrados!

Postar dúvida ou solução ...