
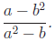
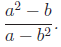
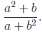
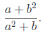
Considere a equação px2 - 5x + q = 0, p > 0, de raízes a e b, sendo a > b. é dada também a equação qx2 - 5x + p = 0, q > 0, cujas raízes são α e β. Calculando o valor da expressão em função das variáveis a e b, encontraremos a forma fracionária
TEMPO NA QUESTÃO
00:00:00
Meu Desempenho
Matemática Geral
Total de Questões: ?
Respondidas: ? (0,00%)
Certas: ? (0,00%)
Erradas: ? (0,00%)
Somente usuários cadastrados!