
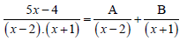
Considere que, em um exercício da disciplina de Cáculo I, um aluno de graduação depare com a seguinte equação:
Os valores de A e B na equação são, respectivamente, iguais a:
TEMPO NA QUESTÃO
00:00:00
Meu Desempenho
Matemática Geral
Total de Questões: ?
Respondidas: ? (0,00%)
Certas: ? (0,00%)
Erradas: ? (0,00%)
Somente usuários cadastrados!